How to annualize returns
the Basics

Investors often need to see returns for multi-year periods reflected on an annualized basis. Annualized returns for such periods show the equivalent yearly return for each of the years within the multi-year period that that would have been needed to achieve the overall period return.

dailyVest's FOM performance calculation engine readily calculates returns for each of the individual years (and partial years) within the overall period, but since returns fluctuate from year-to-year, investors may want to know what single rate of return would have needed to be achieved each year within the overall period to arrive at the overall period return.

Total Return formula when no cash flows.

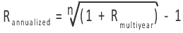
…where Rmultiyear is the overall period return for the multi-year period expressed as a decimal and n is the number of years in the multi-year period.

Annualize whole year periods

Assume a 5-year cumulative period return of 31.54% and note that these five sub-period returns were actually achieved: year 1 = 3.75%, year 2 = 6.21%, year 3 = 4.83%, year 4 = 8.45%, and year 5 = 5.01%. As can be seen, each year’s return varies between a minimum of 3.75% and maximum of 8.45%. So what equivalent 'annualized return' would be required to achieve 31.54% for the overall 5-year period?

Total Return formula when no cash flows.

Using the formula above, Rannualized = 5.635%. So, it can be said that the 31.54% return for the 5-year period could also have been achieved had we had annual returns of 5.635% for each of those 5 years. This can be proved by geometrically linking the five annualized returns of 5.63%. The equation for geometric linking yearly sub-periods is...

Geometrically linking monthly period returns to calculate quarterly returns.

And populating this equation with the five annualized returns yields (1+0.0563) x (1+0.0563) x (1+0.0563) x (1+0.0563) x (1+0.0563) -1 = 0.3154.

Annualize fractional periods

Investors may want to see an annualized return for a period which includes a fractional year. dailyVest software handles scenarios like this using the same method above. Assume an investor wants to know the annualized return since account inception, which in this case is assumed to be 18 months (1½ years). If the period return since inception is 21.39%, then the annualized return is computed as 13.74%, or...

Geometrically linking monthly period returns to calculate quarterly returns.